INTRODUCCIÓN:
Su representación es en el plano cartesiano. En el eje x representamos el conjunto de los números naturales ℕ = {1, 2, 3, 4, 5, … n} y en el eje y representamos el conjunto de los términos que conforman dicha sucesión.
EJEMPLO N° 1:
Representar gráficamente la sucesión cuyo término general es: |
![]() |
Hallar los términos que conforman dicha sucesión, haciendo n = {1, 2, 3, 4, 5. 6, ... ,}:
PASO 2:
Elaboramos una table de valores
PASO 3:
Representamos estos valores en el plano cartesiano: En el eje x representamos el conjunto de los números naturales ℕ = {1, 2, 3, 4, 5, 6, … n} y en el eje y representamos el conjunto de los términos an = {1, 0,67, 0,5, 0,4, 0,33, 0,28, 0,25,…},
EJEMPLO N° 2:
Representar gráficamente la sucesión cuyo término general es: |
![]() |
Hallar los términos que conforman dicha sucesión, haciendo n = {1, 2, 3, 4, 5. 6, ... ,}:
PASO 2:
Elaboramos una table de valores
PASO 3:
Representamos estos valores en el plano cartesiano: En el eje x representamos el conjunto de los números naturales ℕ = {1, 2, 3, 4, 5, 6, … n} y en el eje y representamos el conjunto de los términos an = {2, 2,5, 3,3, 4.3, 5,2, 6,2, 7,1,…},
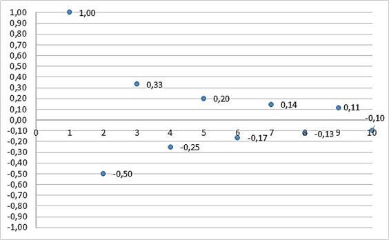
EJEMPLO N° 3:
Representar gráficamente la sucesión cuyo término general es: |
![]() |
Hallar los términos que conforman dicha sucesión, haciendo n = {1, 2, 3, 4, 5. 6, ... ,}:
PASO 2:
Elaboramos una table de valores
PASO 3:
Representamos estos valores en el plano cartesiano: En el eje x representamos el conjunto de los números naturales ℕ = {1, 2, 3, 4, 5, 6, … n} y en el eje y representamos el conjunto de los términos an = {1, - 0,5, 0,33, - 0.25, 0,20, - 0,17, 0,14, …},
Representar gráficamente las siguientes sucesiones, cuyo término general es:












setso
ResponderBorrarXD
Borrar